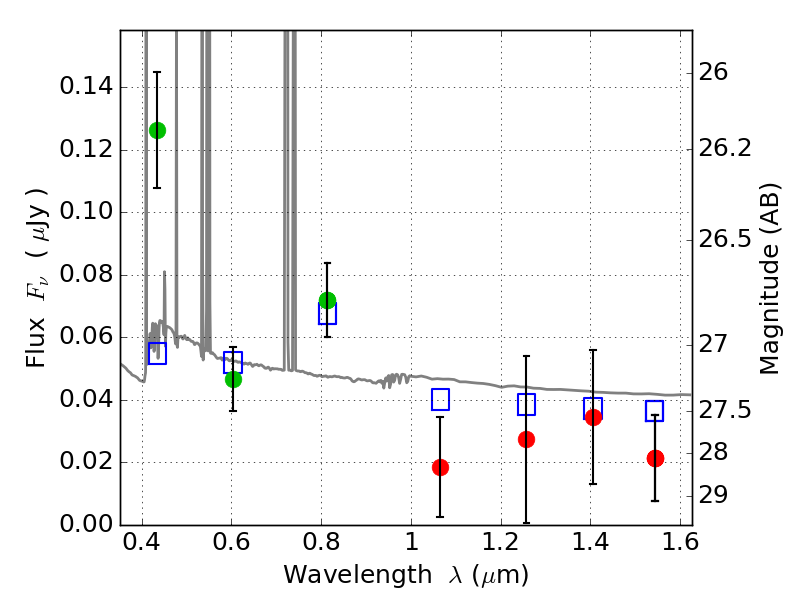
PLCKG138-10 ACS+IR detection object #1758

Color images and BPZ results
Catalog: 1758.cat
Black segments are analyzed here.   Roll mouse over color images to view segments.
Best viewed in a wide browser window (1200 pixels or more).   Download SED & P(z) plots to view larger versions.
In P(z) plots: Yellow lines mark the cluster redshift z = 0.702,  

Object #1758   x,y = (2083, 3262)   RA, Dec = (02:27:08.736, 49:01:15.24) = (36.78640, 49.02090)   BPZ = 0.105 [0.075--1.828]   type = 11.00 (SB11_A_0_l)   chisq2 = 2.81   ODDS = 0.54   z_cluster = 0.702