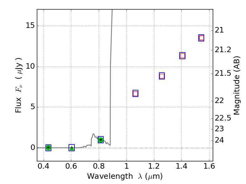
PLCKG138-10 ACS+IR detection object #118

Color images and BPZ results
Catalog: 118.cat
Black segments are analyzed here.   Roll mouse over color images to view segments.
Best viewed in a wide browser window (1200 pixels or more).   Download SED & P(z) plots to view larger versions.
In P(z) plots: Yellow lines mark the cluster redshift z = 0.702,  

Object #118   x,y = (3870, 4311)   RA, Dec = (02:26:57.840, 49:02:18.24) = (36.74100, 49.03840)   BPZ = 6.273 [5.878--8.817]   type = 6.00 (Sbc_B10)   chisq2 = 0.00   ODDS = 0.41   z_cluster = 0.702