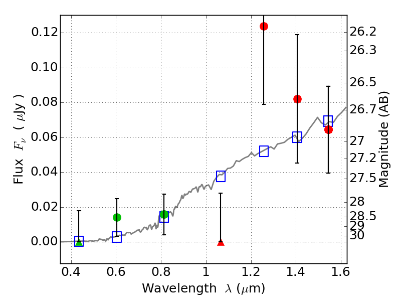
PLCKG138-10 IR detection object #3

Color images and BPZ results
Catalog: 3.cat
Black segments are analyzed here.   Roll mouse over color images to view segments.
Best viewed in a wide browser window (1200 pixels or more).   Download SED & P(z) plots to view larger versions.
In P(z) plots: Yellow lines mark the cluster redshift z = 0.702,  

Object #3   x,y = (1944, 4019)   RA, Dec = (02:27:09.600, 49:02:00.60) = (36.79000, 49.03350)   BPZ = 0.982 [0.357--5.651]   type = 3.00 (Ell5_A_0)   chisq2 = 0.81   ODDS = 0.09   z_cluster = 0.702