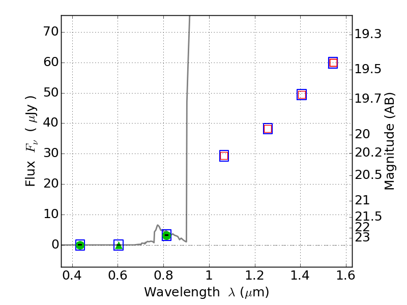
PLCKG138-10 ACS+IR detection object #994

Color images and BPZ results
Catalog: 994.cat
Black segments are analyzed here.   Roll mouse over color images to view segments.
Best viewed in a wide browser window (1200 pixels or more).   Download SED & P(z) plots to view larger versions.
In P(z) plots: Yellow lines mark the cluster redshift z = 0.702,  

Object #994   x,y = (4042, 3676)   RA, Dec = (02:26:56.808, 49:01:40.08) = (36.73670, 49.02780)   BPZ = 6.406 [6.043--8.362]   type = 6.00 (Sbc_B10)   chisq2 = 0.00   ODDS = 0.51   z_cluster = 0.702