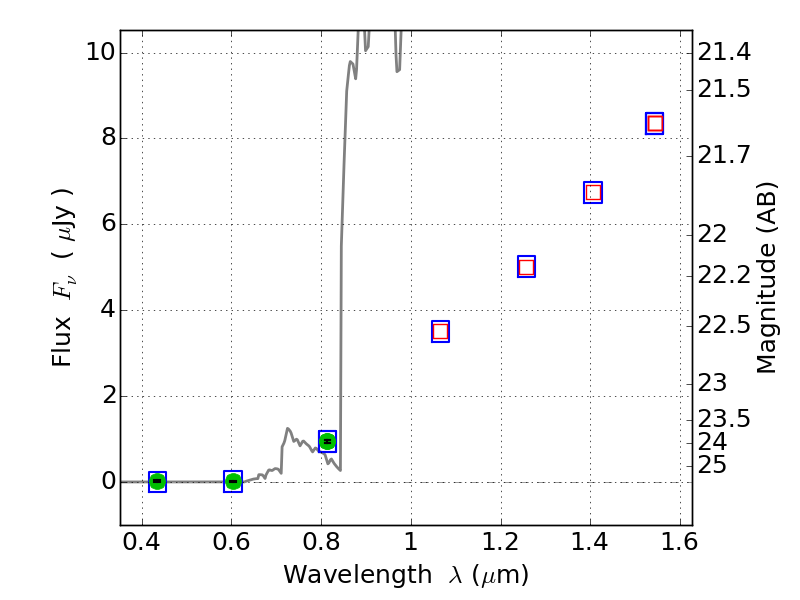
PLCKG138-10 ACS+IR detection object #874

Color images and BPZ results
Catalog: 874.cat
Black segments are analyzed here.   Roll mouse over color images to view segments.
Best viewed in a wide browser window (1200 pixels or more).   Download SED & P(z) plots to view larger versions.
In P(z) plots: Yellow lines mark the cluster redshift z = 0.702,  

Object #874   x,y = (4014, 3727)   RA, Dec = (02:26:56.976, 49:01:42.96) = (36.73740, 49.02860)   BPZ = 5.943 [5.708--8.562]   type = 5.50 (Sbc_B10 - ES0_B10)   chisq2 = 0.00   ODDS = 0.45   z_cluster = 0.702