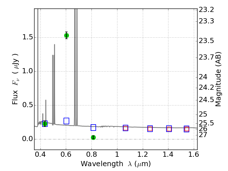
PLCKG138-10 ACS+IR detection object #802
Color images and BPZ results
Catalog: 802.cat
Black segments are analyzed here. Roll mouse over color images to view segments.
Best viewed in a wide browser window (1200 pixels or more). Download SED & P(z) plots to view larger versions.
In P(z) plots: Yellow lines mark the cluster redshift z = 0.702,
Object #802 x,y = (4015, 3773) RA, Dec = (02:26:56.952, 49:01:45.84) = (36.73730, 49.02940) BPZ = 0.017 [0.010--0.034] type = 11.00 (SB11_A_0_l) chisq2 = 642.00 ODDS = 1.00 z_cluster = 0.702