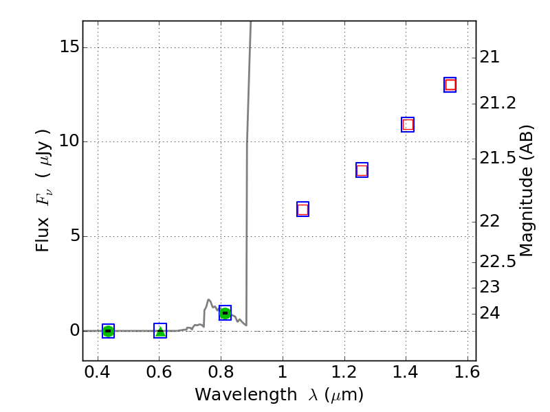
PLCKG138-10 ACS+IR detection object #676

Color images and BPZ results
Catalog: 676.cat
Black segments are analyzed here.   Roll mouse over color images to view segments.
Best viewed in a wide browser window (1200 pixels or more).   Download SED & P(z) plots to view larger versions.
In P(z) plots: Yellow lines mark the cluster redshift z = 0.702,  

Object #676   x,y = (3978, 3838)   RA, Dec = (02:26:57.192, 49:01:49.80) = (36.73830, 49.03050)   BPZ = 6.273 [5.880--8.759]   type = 6.00 (Sbc_B10)   chisq2 = 0.00   ODDS = 0.41   z_cluster = 0.702