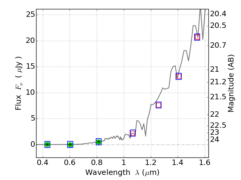
PLCKG138-10 ACS+IR detection object #6049

Color images and BPZ results
Catalog: 6049.cat
Black segments are analyzed here.   Roll mouse over color images to view segments.
Best viewed in a wide browser window (1200 pixels or more).   Download SED & P(z) plots to view larger versions.
In P(z) plots: Yellow lines mark the cluster redshift z = 0.702,  

Object #6049   x,y = (1163, 852)   RA, Dec = (02:27:14.352, 48:58:50.52) = (36.80980, 48.98070)   BPZ = 3.142 [1.529--8.130]   type = 4.00 (Ell4_A_0)   chisq2 = 0.00   ODDS = 0.14   z_cluster = 0.702