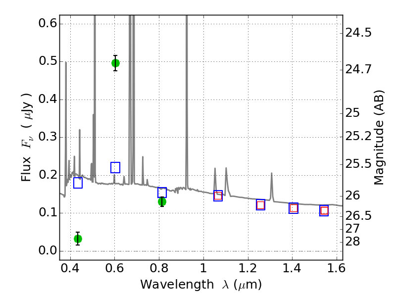
PLCKG138-10 ACS+IR detection object #5963

Color images and BPZ results
Catalog: 5963.cat
Black segments are analyzed here.   Roll mouse over color images to view segments.
Best viewed in a wide browser window (1200 pixels or more).   Download SED & P(z) plots to view larger versions.
In P(z) plots: Yellow lines mark the cluster redshift z = 0.702,  

Object #5963   x,y = (3108, 916)   RA, Dec = (02:27:02.496, 48:58:54.48) = (36.76040, 48.98180)   BPZ = 0.017 [0.010--3.437]   type = 10.60 (SB11_A_0_l - SB3_B10)   chisq2 = 166.40   ODDS = 0.93   z_cluster = 0.702