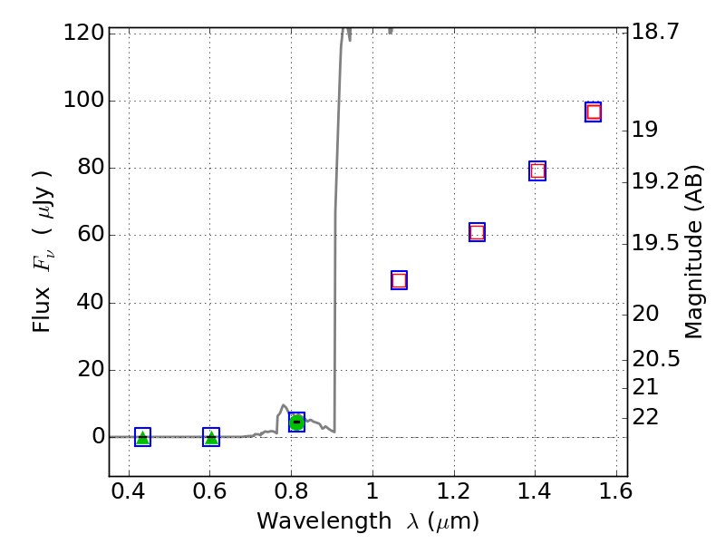
PLCKG138-10 ACS+IR detection object #5929

Color images and BPZ results
Catalog: 5929.cat
Black segments are analyzed here.   Roll mouse over color images to view segments.
Best viewed in a wide browser window (1200 pixels or more).   Download SED & P(z) plots to view larger versions.
In P(z) plots: Yellow lines mark the cluster redshift z = 0.702,  

Object #5929   x,y = (1152, 945)   RA, Dec = (02:27:14.424, 48:58:56.28) = (36.81010, 48.98230)   BPZ = 6.474 [6.219--8.287]   type = 6.00 (Sbc_B10)   chisq2 = 0.00   ODDS = 0.54   z_cluster = 0.702