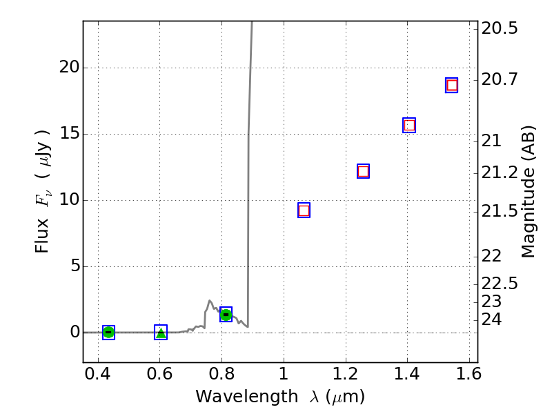
PLCKG138-10 ACS+IR detection object #5919
Color images and BPZ results
Catalog: 5919.cat
Black segments are analyzed here. Roll mouse over color images to view segments.
Best viewed in a wide browser window (1200 pixels or more). Download SED & P(z) plots to view larger versions.
In P(z) plots: Yellow lines mark the cluster redshift z = 0.702,
Object #5919 x,y = (1159, 950) RA, Dec = (02:27:14.376, 48:58:56.28) = (36.80990, 48.98230) BPZ = 6.277 [5.908--8.716] type = 6.00 (Sbc_B10) chisq2 = 0.00 ODDS = 0.42 z_cluster = 0.702