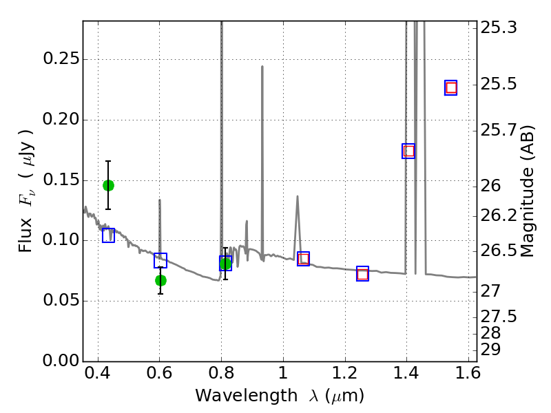
PLCKG138-10 ACS+IR detection object #5792

Color images and BPZ results
Catalog: 5792.cat
Black segments are analyzed here.   Roll mouse over color images to view segments.
Best viewed in a wide browser window (1200 pixels or more).   Download SED & P(z) plots to view larger versions.
In P(z) plots: Yellow lines mark the cluster redshift z = 0.702,  

Object #5792   x,y = (3513, 1025)   RA, Dec = (02:27:00.024, 48:59:00.96) = (36.75010, 48.98360)   BPZ = 1.151 [0.769--2.439]   type = 11.00 (SB11_A_0_l)   chisq2 = 3.52   ODDS = 0.18   z_cluster = 0.702