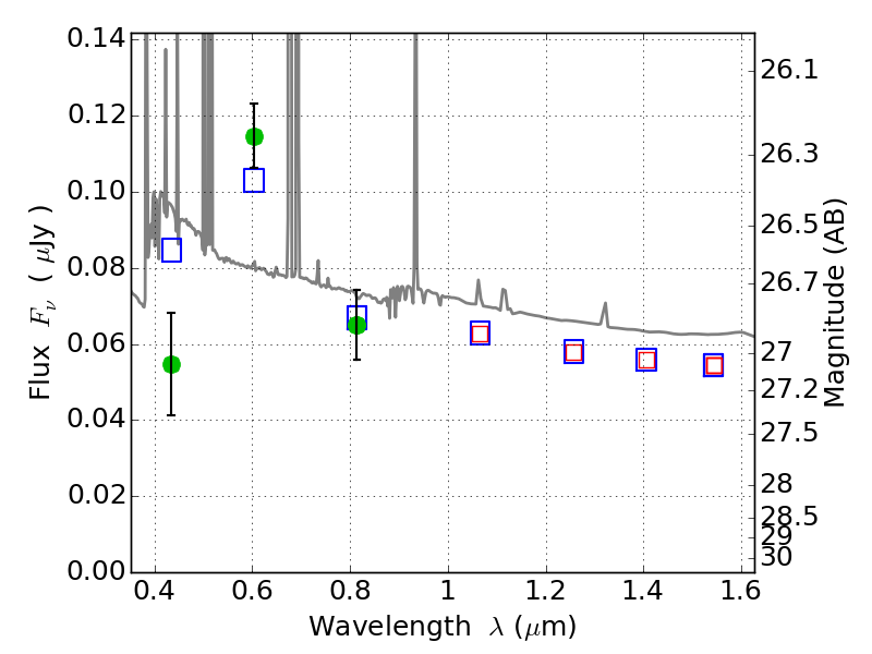
PLCKG138-10 ACS+IR detection object #5747

Color images and BPZ results
Catalog: 5747.cat
Black segments are analyzed here.   Roll mouse over color images to view segments.
Best viewed in a wide browser window (1200 pixels or more).   Download SED & P(z) plots to view larger versions.
In P(z) plots: Yellow lines mark the cluster redshift z = 0.702,  

Object #5747   x,y = (3713, 1064)   RA, Dec = (02:26:58.824, 48:59:03.12) = (36.74510, 48.98420)   BPZ = 0.035 [0.015--3.219]   type = 10.90 (SB11_A_0_l - SB3_B10)   chisq2 = 5.20   ODDS = 0.32   z_cluster = 0.702