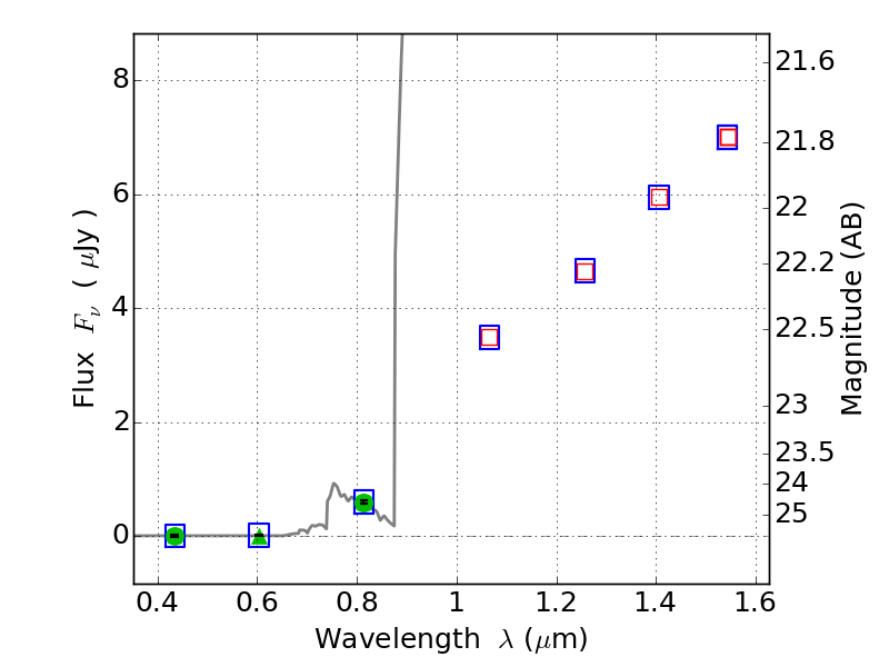
PLCKG138-10 ACS+IR detection object #5729

Color images and BPZ results
Catalog: 5729.cat
Black segments are analyzed here.   Roll mouse over color images to view segments.
Best viewed in a wide browser window (1200 pixels or more).   Download SED & P(z) plots to view larger versions.
In P(z) plots: Yellow lines mark the cluster redshift z = 0.702,  

Object #5729   x,y = (1059, 1135)   RA, Dec = (02:27:14.976, 48:59:07.44) = (36.81240, 48.98540)   BPZ = 6.212 [5.771--8.882]   type = 6.00 (Sbc_B10)   chisq2 = 0.00   ODDS = 0.38   z_cluster = 0.702