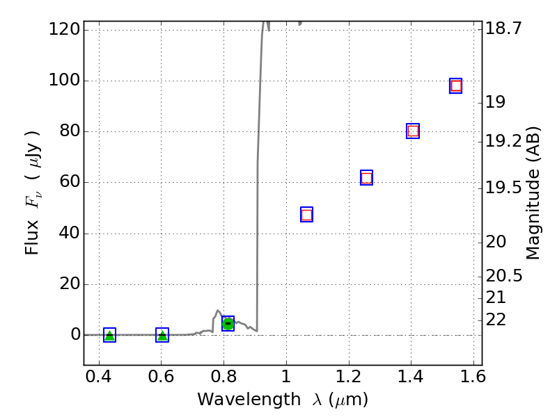
PLCKG138-10 ACS+IR detection object #5569

Color images and BPZ results
Catalog: 5569.cat
Black segments are analyzed here.   Roll mouse over color images to view segments.
Best viewed in a wide browser window (1200 pixels or more).   Download SED & P(z) plots to view larger versions.
In P(z) plots: Yellow lines mark the cluster redshift z = 0.702,  

Object #5569   x,y = (1038, 1205)   RA, Dec = (02:27:15.120, 48:59:11.76) = (36.81300, 48.98660)   BPZ = 6.473 [6.212--8.282]   type = 6.00 (Sbc_B10)   chisq2 = 0.00   ODDS = 0.54   z_cluster = 0.702