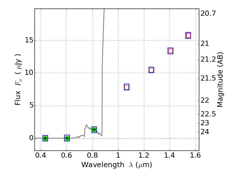
PLCKG138-10 ACS+IR detection object #5260

Color images and BPZ results
Catalog: 5260.cat
Black segments are analyzed here.   Roll mouse over color images to view segments.
Best viewed in a wide browser window (1200 pixels or more).   Download SED & P(z) plots to view larger versions.
In P(z) plots: Yellow lines mark the cluster redshift z = 0.702,  

Object #5260   x,y = (4605, 1362)   RA, Dec = (02:26:53.376, 48:59:21.12) = (36.72240, 48.98920)   BPZ = 6.214 [5.870--8.598]   type = 6.00 (Sbc_B10)   chisq2 = 0.00   ODDS = 0.46   z_cluster = 0.702