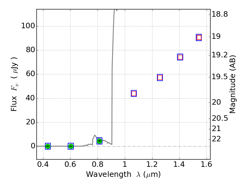
PLCKG138-10 ACS+IR detection object #5222

Color images and BPZ results
Catalog: 5222.cat
Black segments are analyzed here.   Roll mouse over color images to view segments.
Best viewed in a wide browser window (1200 pixels or more).   Download SED & P(z) plots to view larger versions.
In P(z) plots: Yellow lines mark the cluster redshift z = 0.702,  

Object #5222   x,y = (4612, 1384)   RA, Dec = (02:26:53.328, 48:59:22.56) = (36.72220, 48.98960)   BPZ = 6.452 [6.205--8.239]   type = 6.00 (Sbc_B10)   chisq2 = 0.00   ODDS = 0.59   z_cluster = 0.702