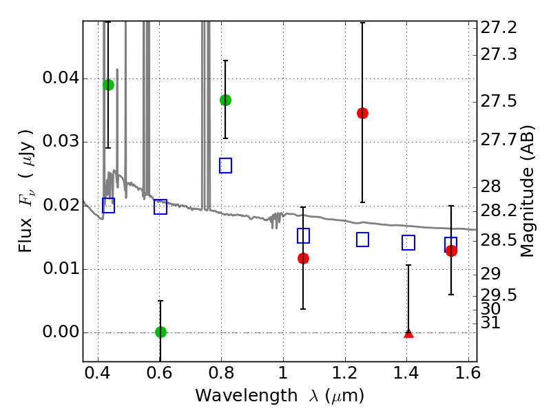
PLCKG138-10 ACS+IR detection object #5208

Color images and BPZ results
Catalog: 5208.cat
Black segments are analyzed here.   Roll mouse over color images to view segments.
Best viewed in a wide browser window (1200 pixels or more).   Download SED & P(z) plots to view larger versions.
In P(z) plots: Yellow lines mark the cluster redshift z = 0.702,  

Object #5208   x,y = (2646, 1389)   RA, Dec = (02:27:05.304, 48:59:22.92) = (36.77210, 48.98970)   BPZ = 0.131 [0.096--4.976]   type = 11.00 (SB11_A_0_l)   chisq2 = 3.87   ODDS = 0.25   z_cluster = 0.702