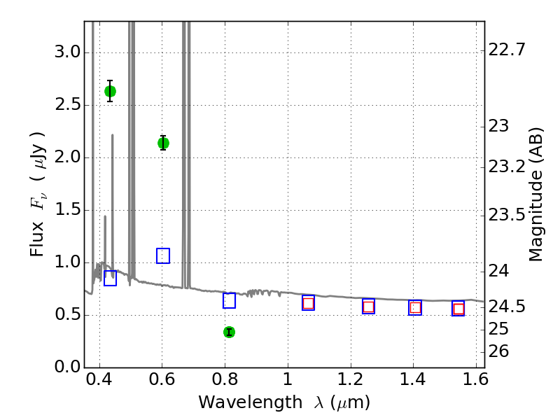
PLCKG138-10 ACS+IR detection object #5194
Color images and BPZ results
Catalog: 5194.cat
Black segments are analyzed here. Roll mouse over color images to view segments.
Best viewed in a wide browser window (1200 pixels or more). Download SED & P(z) plots to view larger versions.
In P(z) plots: Yellow lines mark the cluster redshift z = 0.702,
Object #5194 x,y = (4595, 1493) RA, Dec = (02:26:53.424, 48:59:29.04) = (36.72260, 48.99140) BPZ = 0.016 [0.010--0.031] type = 11.00 (SB11_A_0_l) chisq2 = 355.80 ODDS = 1.00 z_cluster = 0.702