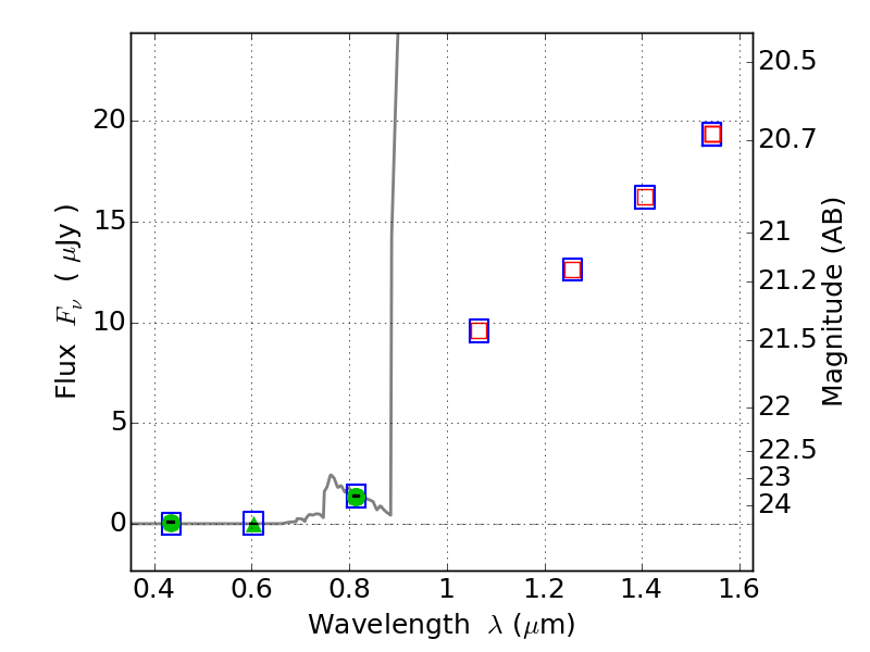
PLCKG138-10 ACS+IR detection object #519

Color images and BPZ results
Catalog: 519.cat
Black segments are analyzed here.   Roll mouse over color images to view segments.
Best viewed in a wide browser window (1200 pixels or more).   Download SED & P(z) plots to view larger versions.
In P(z) plots: Yellow lines mark the cluster redshift z = 0.702,  

Object #519   x,y = (3950, 3910)   RA, Dec = (02:26:57.360, 49:01:54.12) = (36.73900, 49.03170)   BPZ = 6.294 [5.941--8.822]   type = 6.00 (Sbc_B10)   chisq2 = 0.00   ODDS = 0.42   z_cluster = 0.702