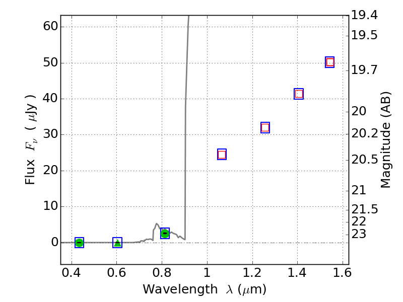
PLCKG138-10 ACS+IR detection object #5182

Color images and BPZ results
Catalog: 5182.cat
Black segments are analyzed here.   Roll mouse over color images to view segments.
Best viewed in a wide browser window (1200 pixels or more).   Download SED & P(z) plots to view larger versions.
In P(z) plots: Yellow lines mark the cluster redshift z = 0.702,  

Object #5182   x,y = (4579, 1428)   RA, Dec = (02:26:53.520, 48:59:25.08) = (36.72300, 48.99030)   BPZ = 6.427 [6.043--8.496]   type = 6.00 (Sbc_B10)   chisq2 = 0.00   ODDS = 0.49   z_cluster = 0.702