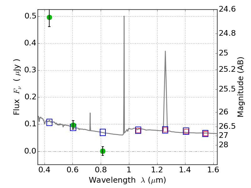
PLCKG138-10 ACS+IR detection object #5136

Color images and BPZ results
Catalog: 5136.cat
Black segments are analyzed here.   Roll mouse over color images to view segments.
Best viewed in a wide browser window (1200 pixels or more).   Download SED & P(z) plots to view larger versions.
In P(z) plots: Yellow lines mark the cluster redshift z = 0.702,  

Object #5136   x,y = (985, 1430)   RA, Dec = (02:27:15.432, 48:59:25.08) = (36.81430, 48.99030)   BPZ = 1.594 [1.389--2.221]   type = 11.00 (SB11_A_0_l)   chisq2 = 145.90   ODDS = 0.35   z_cluster = 0.702