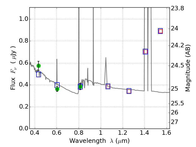
PLCKG138-10 ACS+IR detection object #5084

Color images and BPZ results
Catalog: 5084.cat
Black segments are analyzed here.   Roll mouse over color images to view segments.
Best viewed in a wide browser window (1200 pixels or more).   Download SED & P(z) plots to view larger versions.
In P(z) plots: Yellow lines mark the cluster redshift z = 0.702,  

Object #5084   x,y = (1843, 1546)   RA, Dec = (02:27:10.200, 48:59:32.28) = (36.79250, 48.99230)   BPZ = 1.150 [1.002--2.186]   type = 11.00 (SB11_A_0_l)   chisq2 = 1.46   ODDS = 0.51   z_cluster = 0.702