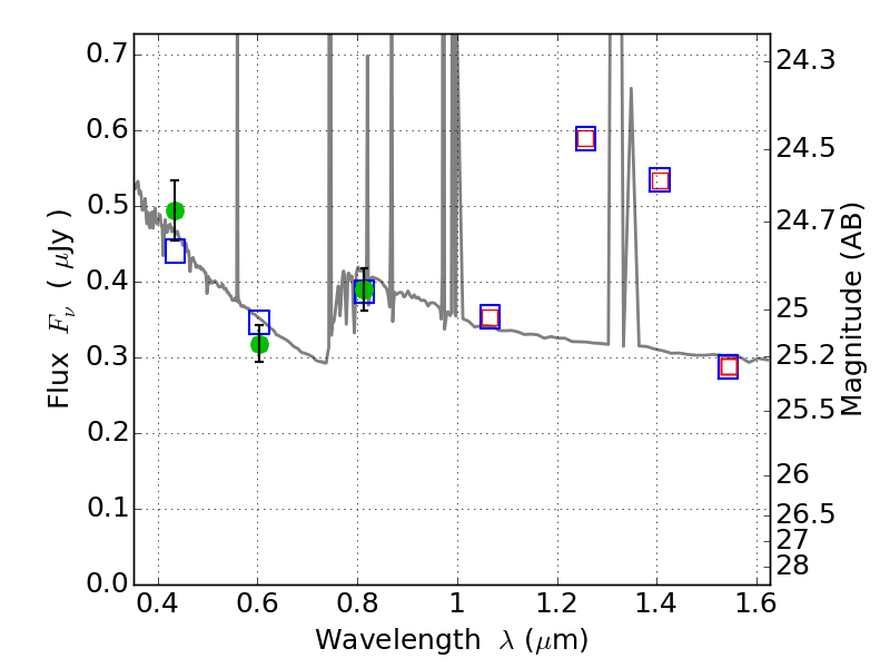
PLCKG138-10 ACS+IR detection object #4936
Color images and BPZ results
Catalog: 4936.cat
Black segments are analyzed here. Roll mouse over color images to view segments.
Best viewed in a wide browser window (1200 pixels or more). Download SED & P(z) plots to view larger versions.
In P(z) plots: Yellow lines mark the cluster redshift z = 0.702,
Object #4936 x,y = (1834, 1514) RA, Dec = (02:27:10.272, 48:59:30.12) = (36.79280, 48.99170) BPZ = 1.003 [0.748--1.340] type = 11.00 (SB11_A_0_l) chisq2 = 1.28 ODDS = 0.57 z_cluster = 0.702