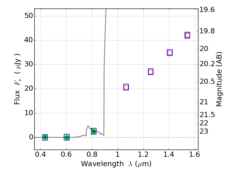
PLCKG138-10 ACS+IR detection object #4904

Color images and BPZ results
Catalog: 4904.cat
Black segments are analyzed here.   Roll mouse over color images to view segments.
Best viewed in a wide browser window (1200 pixels or more).   Download SED & P(z) plots to view larger versions.
In P(z) plots: Yellow lines mark the cluster redshift z = 0.702,  

Object #4904   x,y = (4570, 1601)   RA, Dec = (02:26:53.592, 48:59:35.52) = (36.72330, 48.99320)   BPZ = 6.364 [6.025--8.544]   type = 6.00 (Sbc_B10)   chisq2 = 0.00   ODDS = 0.49   z_cluster = 0.702