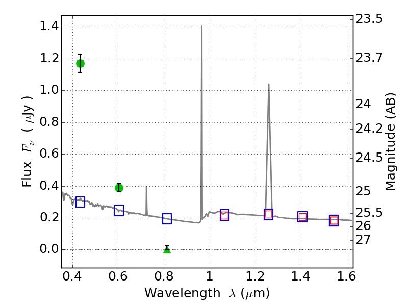
PLCKG138-10 ACS+IR detection object #4809
Color images and BPZ results
Catalog: 4809.cat
Black segments are analyzed here. Roll mouse over color images to view segments.
Best viewed in a wide browser window (1200 pixels or more). Download SED & P(z) plots to view larger versions.
In P(z) plots: Yellow lines mark the cluster redshift z = 0.702,
Object #4809 x,y = (936, 1634) RA, Dec = (02:27:15.744, 48:59:37.68) = (36.81560, 48.99380) BPZ = 1.594 [0.014--1.999] type = 11.00 (SB11_A_0_l) chisq2 = 297.20 ODDS = 0.60 z_cluster = 0.702