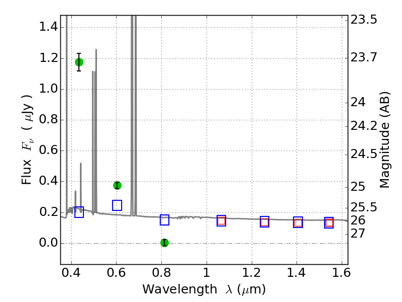
PLCKG138-10 ACS+IR detection object #4793

Color images and BPZ results
Catalog: 4793.cat
Black segments are analyzed here.   Roll mouse over color images to view segments.
Best viewed in a wide browser window (1200 pixels or more).   Download SED & P(z) plots to view larger versions.
In P(z) plots: Yellow lines mark the cluster redshift z = 0.702,  

Object #4793   x,y = (4545, 1640)   RA, Dec = (02:26:53.736, 48:59:37.68) = (36.72390, 48.99380)   BPZ = 0.019 [0.010--0.042]   type = 11.00 (SB11_A_0_l)   chisq2 = 369.90   ODDS = 0.98   z_cluster = 0.702