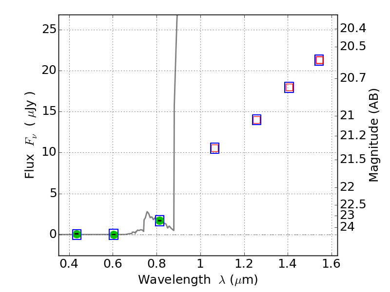
PLCKG138-10 ACS+IR detection object #4742

Color images and BPZ results
Catalog: 4742.cat
Black segments are analyzed here.   Roll mouse over color images to view segments.
Best viewed in a wide browser window (1200 pixels or more).   Download SED & P(z) plots to view larger versions.
In P(z) plots: Yellow lines mark the cluster redshift z = 0.702,  

Object #4742   x,y = (4549, 1664)   RA, Dec = (02:26:53.712, 48:59:39.12) = (36.72380, 48.99420)   BPZ = 6.238 [5.909--8.597]   type = 6.00 (Sbc_B10)   chisq2 = 0.00   ODDS = 0.49   z_cluster = 0.702