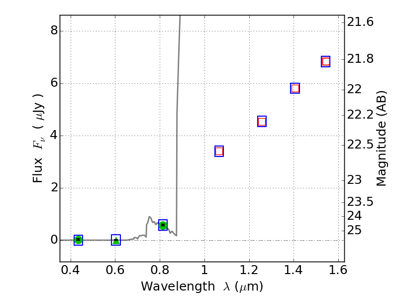
PLCKG138-10 ACS+IR detection object #4572

Color images and BPZ results
Catalog: 4572.cat
Black segments are analyzed here.   Roll mouse over color images to view segments.
Best viewed in a wide browser window (1200 pixels or more).   Download SED & P(z) plots to view larger versions.
In P(z) plots: Yellow lines mark the cluster redshift z = 0.702,  

Object #4572   x,y = (4525, 1764)   RA, Dec = (02:26:53.856, 48:59:45.24) = (36.72440, 48.99590)   BPZ = 6.211 [5.747--8.902]   type = 6.00 (Sbc_B10)   chisq2 = 0.00   ODDS = 0.38   z_cluster = 0.702