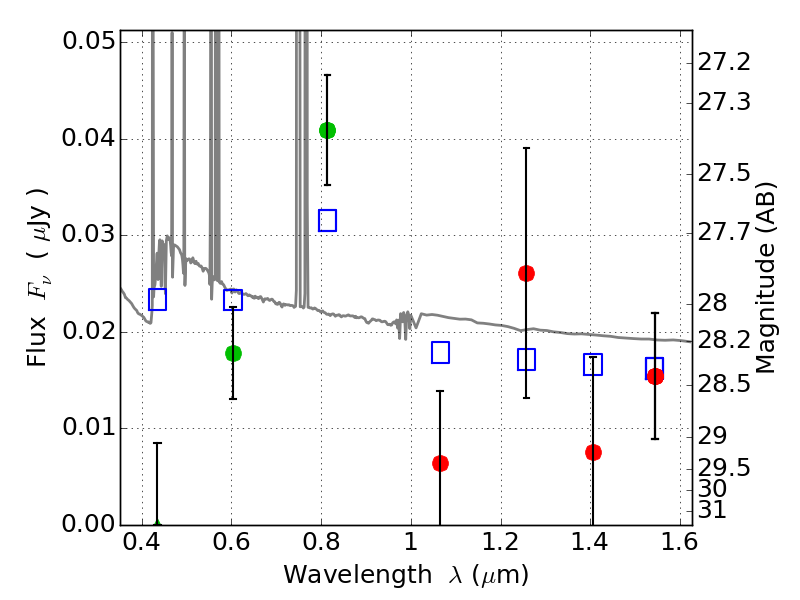
PLCKG138-10 ACS+IR detection object #4366

Color images and BPZ results
Catalog: 4366.cat
Black segments are analyzed here.   Roll mouse over color images to view segments.
Best viewed in a wide browser window (1200 pixels or more).   Download SED & P(z) plots to view larger versions.
In P(z) plots: Yellow lines mark the cluster redshift z = 0.702,  

Object #4366   x,y = (2046, 1875)   RA, Dec = (02:27:08.976, 48:59:52.08) = (36.78740, 48.99780)   BPZ = 0.139 [0.113--4.615]   type = 11.00 (SB11_A_0_l)   chisq2 = 2.36   ODDS = 0.14   z_cluster = 0.702