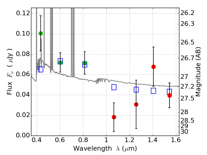
PLCKG138-10 ACS+IR detection object #4126
Color images and BPZ results
Catalog: 4126.cat
Black segments are analyzed here. Roll mouse over color images to view segments.
Best viewed in a wide browser window (1200 pixels or more). Download SED & P(z) plots to view larger versions.
In P(z) plots: Yellow lines mark the cluster redshift z = 0.702,
Object #4126 x,y = (2733, 2176) RA, Dec = (02:27:04.776, 49:00:10.08) = (36.76990, 49.00280) BPZ = 0.074 [0.064--2.955] type = 11.00 (SB11_A_0_l) chisq2 = 1.40 ODDS = 0.10 z_cluster = 0.702