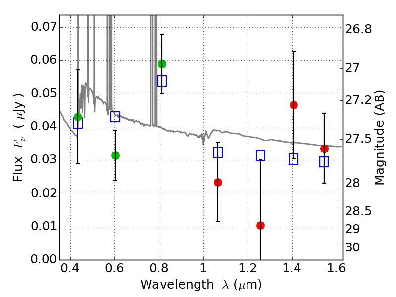
PLCKG138-10 ACS+IR detection object #3632

Color images and BPZ results
Catalog: 3632.cat
Black segments are analyzed here.   Roll mouse over color images to view segments.
Best viewed in a wide browser window (1200 pixels or more).   Download SED & P(z) plots to view larger versions.
In P(z) plots: Yellow lines mark the cluster redshift z = 0.702,  

Object #3632   x,y = (2329, 2296)   RA, Dec = (02:27:07.248, 49:00:17.28) = (36.78020, 49.00480)   BPZ = 0.170 [0.093--3.233]   type = 11.00 (SB11_A_0_l)   chisq2 = 0.79   ODDS = 0.34   z_cluster = 0.702