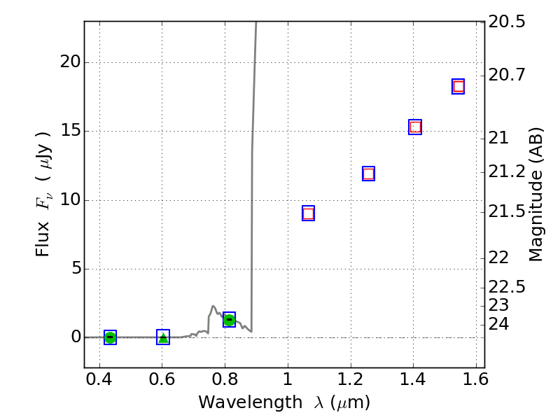
PLCKG138-10 ACS+IR detection object #3622

Color images and BPZ results
Catalog: 3622.cat
Black segments are analyzed here.   Roll mouse over color images to view segments.
Best viewed in a wide browser window (1200 pixels or more).   Download SED & P(z) plots to view larger versions.
In P(z) plots: Yellow lines mark the cluster redshift z = 0.702,  

Object #3622   x,y = (4386, 2300)   RA, Dec = (02:26:54.696, 49:00:17.28) = (36.72790, 49.00480)   BPZ = 6.293 [5.938--8.729]   type = 6.00 (Sbc_B10)   chisq2 = 0.00   ODDS = 0.42   z_cluster = 0.702