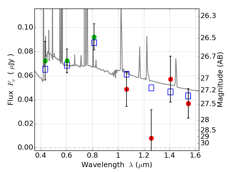
PLCKG138-10 ACS+IR detection object #3567
Color images and BPZ results
Catalog: 3567.cat
Black segments are analyzed here. Roll mouse over color images to view segments.
Best viewed in a wide browser window (1200 pixels or more). Download SED & P(z) plots to view larger versions.
In P(z) plots: Yellow lines mark the cluster redshift z = 0.702,
Object #3567 x,y = (1641, 2371) RA, Dec = (02:27:11.448, 49:00:21.60) = (36.79770, 49.00600) BPZ = 0.133 [0.081--0.306] type = 10.60 (SB11_A_0_l - SB3_B10) chisq2 = 0.73 ODDS = 0.59 z_cluster = 0.702