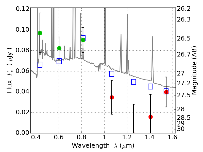
PLCKG138-10 ACS+IR detection object #3442

Color images and BPZ results
Catalog: 3442.cat
Black segments are analyzed here.   Roll mouse over color images to view segments.
Best viewed in a wide browser window (1200 pixels or more).   Download SED & P(z) plots to view larger versions.
In P(z) plots: Yellow lines mark the cluster redshift z = 0.702,  

Object #3442   x,y = (2707, 2384)   RA, Dec = (02:27:04.944, 49:00:22.32) = (36.77060, 49.00620)   BPZ = 0.114 [0.065--0.366]   type = 10.40 (SB3_B10 - SB11_A_0_l)   chisq2 = 1.41   ODDS = 0.50   z_cluster = 0.702