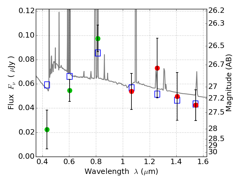
PLCKG138-10 ACS+IR detection object #3187

Color images and BPZ results
Catalog: 3187.cat
Black segments are analyzed here.   Roll mouse over color images to view segments.
Best viewed in a wide browser window (1200 pixels or more).   Download SED & P(z) plots to view larger versions.
In P(z) plots: Yellow lines mark the cluster redshift z = 0.702,  

Object #3187   x,y = (3274, 2506)   RA, Dec = (02:27:01.488, 49:00:29.88) = (36.75620, 49.00830)   BPZ = 0.210 [0.111--4.339]   type = 10.70 (SB11_A_0_l - SB3_B10)   chisq2 = 1.22   ODDS = 0.26   z_cluster = 0.702