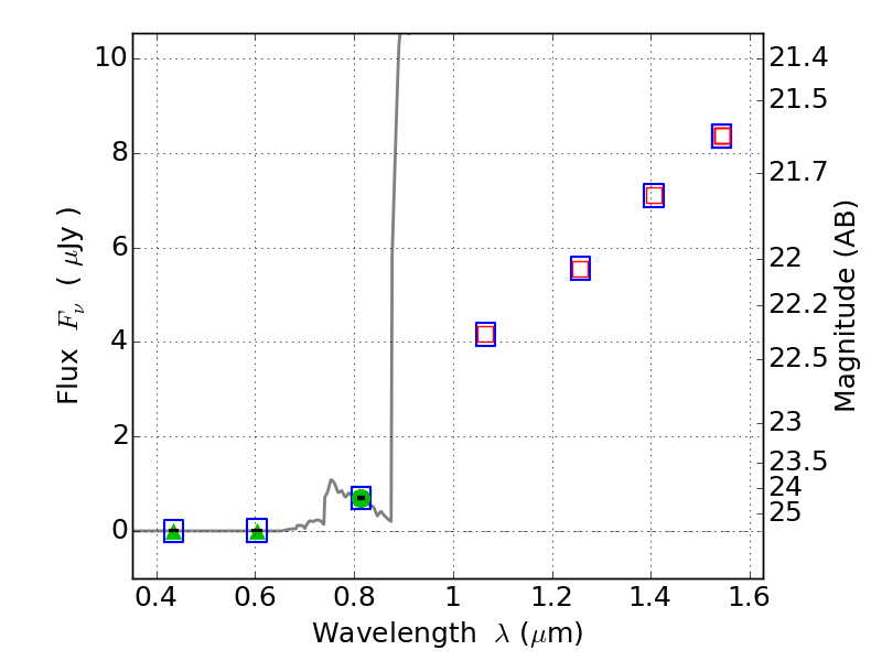
PLCKG138-10 ACS+IR detection object #3068

Color images and BPZ results
Catalog: 3068.cat
Black segments are analyzed here.   Roll mouse over color images to view segments.
Best viewed in a wide browser window (1200 pixels or more).   Download SED & P(z) plots to view larger versions.
In P(z) plots: Yellow lines mark the cluster redshift z = 0.702,  

Object #3068   x,y = (695, 2556)   RA, Dec = (02:27:17.208, 49:00:32.76) = (36.82170, 49.00910)   BPZ = 6.213 [5.787--8.825]   type = 6.00 (Sbc_B10)   chisq2 = 0.00   ODDS = 0.39   z_cluster = 0.702