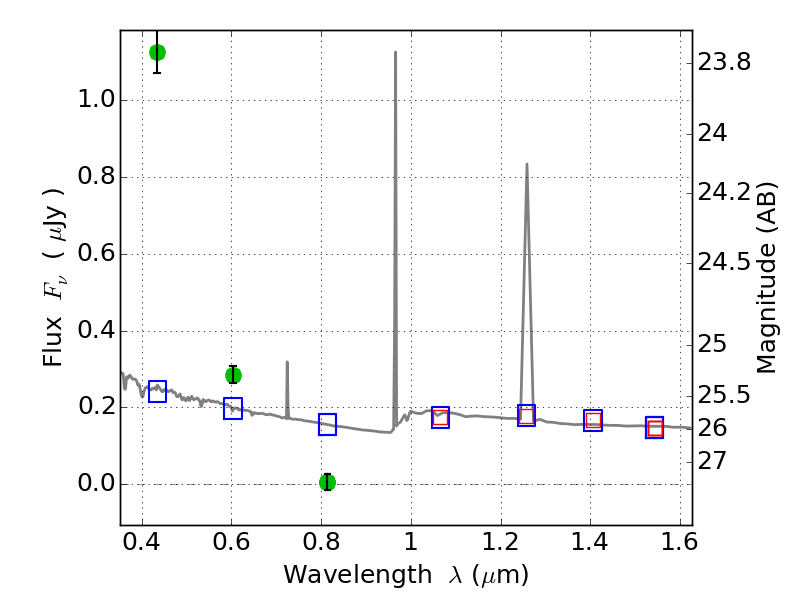
PLCKG138-10 ACS+IR detection object #3038

Color images and BPZ results
Catalog: 3038.cat
Black segments are analyzed here.   Roll mouse over color images to view segments.
Best viewed in a wide browser window (1200 pixels or more).   Download SED & P(z) plots to view larger versions.
In P(z) plots: Yellow lines mark the cluster redshift z = 0.702,  

Object #3038   x,y = (669, 2571)   RA, Dec = (02:27:17.376, 49:00:33.84) = (36.82240, 49.00940)   BPZ = 1.594 [1.480--2.064]   type = 11.00 (SB11_A_0_l)   chisq2 = 312.70   ODDS = 0.62   z_cluster = 0.702