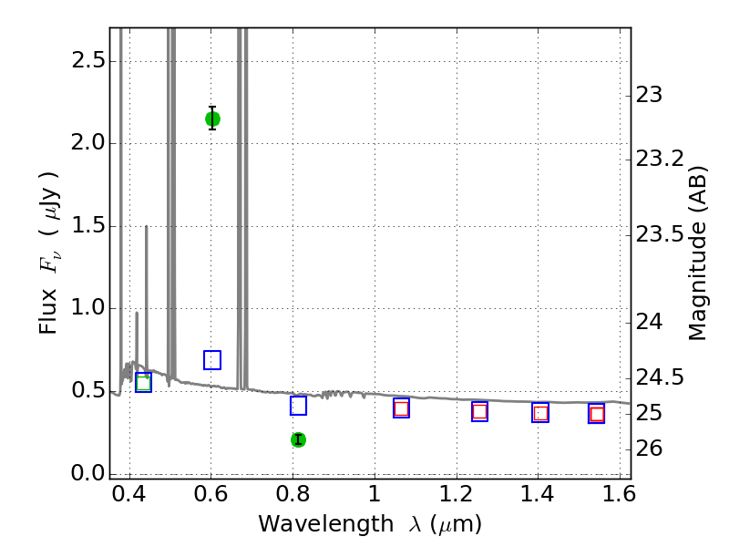
PLCKG138-10 ACS+IR detection object #2978

Color images and BPZ results
Catalog: 2978.cat
Black segments are analyzed here.   Roll mouse over color images to view segments.
Best viewed in a wide browser window (1200 pixels or more).   Download SED & P(z) plots to view larger versions.
In P(z) plots: Yellow lines mark the cluster redshift z = 0.702,  

Object #2978   x,y = (640, 2646)   RA, Dec = (02:27:17.544, 49:00:38.16) = (36.82310, 49.01060)   BPZ = 0.016 [0.010--0.031]   type = 11.00 (SB11_A_0_l)   chisq2 = 339.20   ODDS = 1.00   z_cluster = 0.702