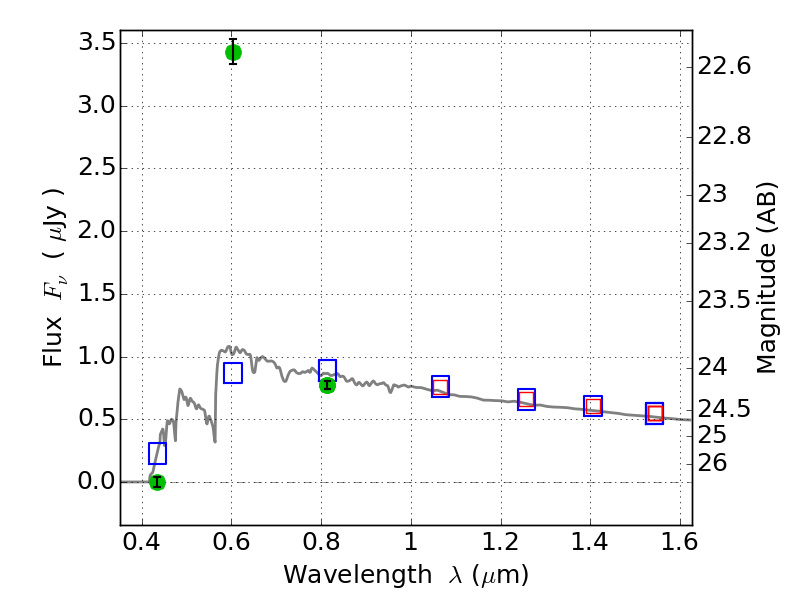
PLCKG138-10 ACS+IR detection object #2832

Color images and BPZ results
Catalog: 2832.cat
Black segments are analyzed here.   Roll mouse over color images to view segments.
Best viewed in a wide browser window (1200 pixels or more).   Download SED & P(z) plots to view larger versions.
In P(z) plots: Yellow lines mark the cluster redshift z = 0.702,  

Object #2832   x,y = (4267, 2713)   RA, Dec = (02:26:55.416, 49:00:42.12) = (36.73090, 49.01170)   BPZ = 3.643 [3.589--3.707]   type = 11.00 (SB11_A_0_l)   chisq2 = 488.90   ODDS = 1.00   z_cluster = 0.702