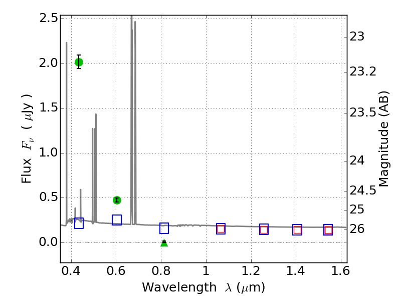
PLCKG138-10 ACS+IR detection object #2751

Color images and BPZ results
Catalog: 2751.cat
Black segments are analyzed here.   Roll mouse over color images to view segments.
Best viewed in a wide browser window (1200 pixels or more).   Download SED & P(z) plots to view larger versions.
In P(z) plots: Yellow lines mark the cluster redshift z = 0.702,  

Object #2751   x,y = (4233, 2893)   RA, Dec = (02:26:55.632, 49:00:52.92) = (36.73180, 49.01470)   BPZ = 0.017 [0.010--0.035]   type = 11.00 (SB11_A_0_l)   chisq2 = 709.10   ODDS = 1.00   z_cluster = 0.702