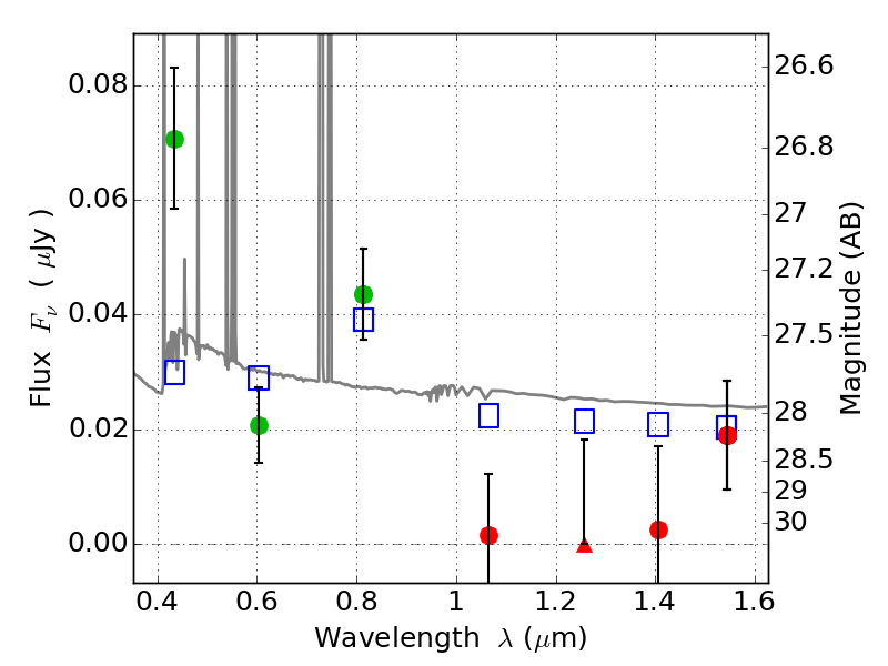
PLCKG138-10 ACS+IR detection object #2574

Color images and BPZ results
Catalog: 2574.cat
Black segments are analyzed here.   Roll mouse over color images to view segments.
Best viewed in a wide browser window (1200 pixels or more).   Download SED & P(z) plots to view larger versions.
In P(z) plots: Yellow lines mark the cluster redshift z = 0.702,  

Object #2574   x,y = (2706, 2856)   RA, Dec = (02:27:04.944, 49:00:50.76) = (36.77060, 49.01410)   BPZ = 0.113 [0.082--2.541]   type = 11.00 (SB11_A_0_l)   chisq2 = 2.71   ODDS = 0.46   z_cluster = 0.702