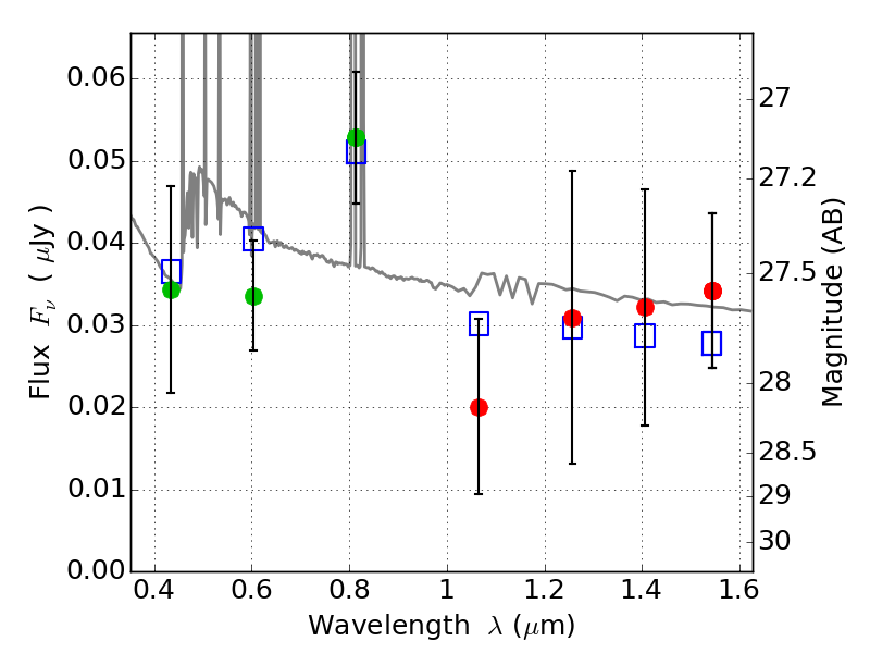
PLCKG138-10 ACS+IR detection object #2525

Color images and BPZ results
Catalog: 2525.cat
Black segments are analyzed here.   Roll mouse over color images to view segments.
Best viewed in a wide browser window (1200 pixels or more).   Download SED & P(z) plots to view larger versions.
In P(z) plots: Yellow lines mark the cluster redshift z = 0.702,  

Object #2525   x,y = (2970, 2869)   RA, Dec = (02:27:03.336, 49:00:51.48) = (36.76390, 49.01430)   BPZ = 0.235 [0.100--3.616]   type = 11.00 (SB11_A_0_l)   chisq2 = 0.44   ODDS = 0.23   z_cluster = 0.702