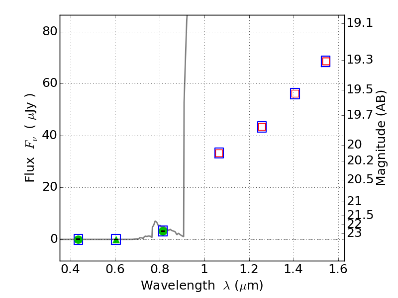
PLCKG138-10 ACS+IR detection object #25

Color images and BPZ results
Catalog: 25.cat
Black segments are analyzed here.   Roll mouse over color images to view segments.
Best viewed in a wide browser window (1200 pixels or more).   Download SED & P(z) plots to view larger versions.
In P(z) plots: Yellow lines mark the cluster redshift z = 0.702,  

Object #25   x,y = (3836, 4435)   RA, Dec = (02:26:58.056, 49:02:25.44) = (36.74190, 49.04040)   BPZ = 6.457 [6.141--8.432]   type = 6.00 (Sbc_B10)   chisq2 = 0.00   ODDS = 0.52   z_cluster = 0.702