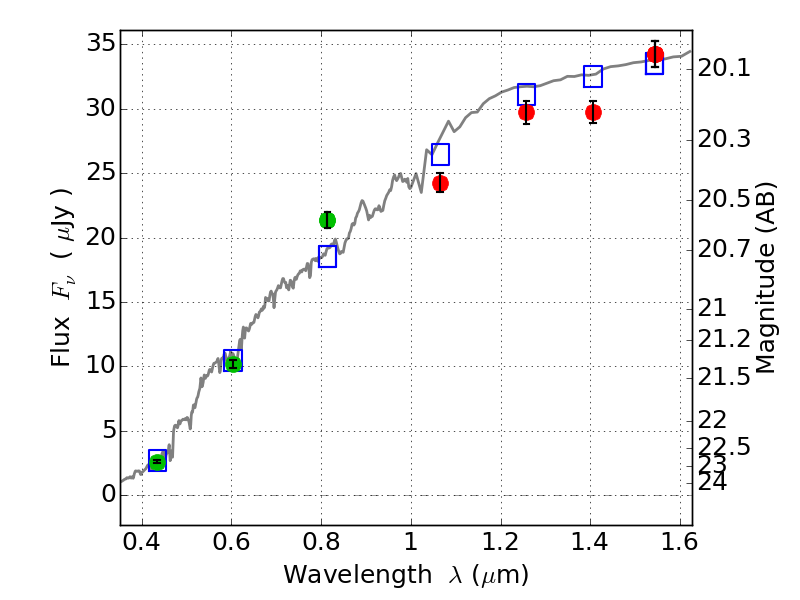
PLCKG138-10 ACS+IR detection object #2435

Color images and BPZ results
Catalog: 2435.cat
Black segments are analyzed here.   Roll mouse over color images to view segments.
Best viewed in a wide browser window (1200 pixels or more).   Download SED & P(z) plots to view larger versions.
In P(z) plots: Yellow lines mark the cluster redshift z = 0.702,  

Object #2435   x,y = (1925, 2910)   RA, Dec = (02:27:09.696, 49:00:54.00) = (36.79040, 49.01500)   BPZ = 0.184 [0.159--0.206]   type = 4.00 (Ell4_A_0)   chisq2 = 0.84   ODDS = 1.00   z_cluster = 0.702