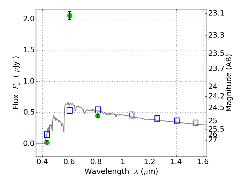
PLCKG138-10 ACS+IR detection object #2409

Color images and BPZ results
Catalog: 2409.cat
Black segments are analyzed here.   Roll mouse over color images to view segments.
Best viewed in a wide browser window (1200 pixels or more).   Download SED & P(z) plots to view larger versions.
In P(z) plots: Yellow lines mark the cluster redshift z = 0.702,  

Object #2409   x,y = (584, 2941)   RA, Dec = (02:27:17.880, 49:00:55.80) = (36.82450, 49.01550)   BPZ = 3.619 [3.543--3.680]   type = 11.00 (SB11_A_0_l)   chisq2 = 435.90   ODDS = 1.00   z_cluster = 0.702