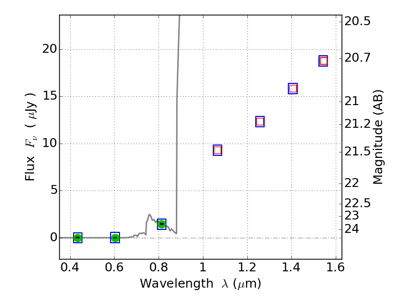
PLCKG138-10 ACS+IR detection object #2375

Color images and BPZ results
Catalog: 2375.cat
Black segments are analyzed here.   Roll mouse over color images to view segments.
Best viewed in a wide browser window (1200 pixels or more).   Download SED & P(z) plots to view larger versions.
In P(z) plots: Yellow lines mark the cluster redshift z = 0.702,  

Object #2375   x,y = (552, 2961)   RA, Dec = (02:27:18.072, 49:00:57.24) = (36.82530, 49.01590)   BPZ = 6.250 [5.884--8.600]   type = 6.00 (Sbc_B10)   chisq2 = 0.00   ODDS = 0.45   z_cluster = 0.702