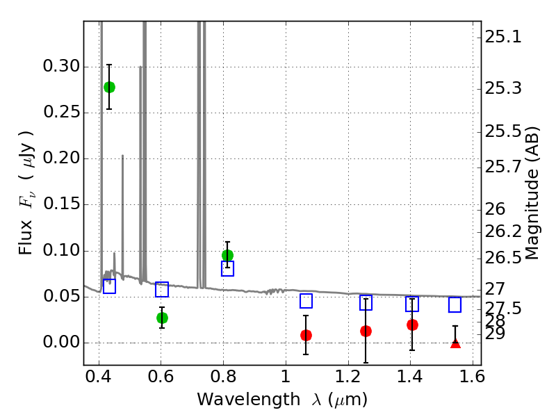
PLCKG138-10 ACS+IR detection object #2365

Color images and BPZ results
Catalog: 2365.cat
Black segments are analyzed here.   Roll mouse over color images to view segments.
Best viewed in a wide browser window (1200 pixels or more).   Download SED & P(z) plots to view larger versions.
In P(z) plots: Yellow lines mark the cluster redshift z = 0.702,  

Object #2365   x,y = (2442, 2969)   RA, Dec = (02:27:06.552, 49:00:57.60) = (36.77730, 49.01600)   BPZ = 0.103 [0.079--0.231]   type = 11.00 (SB11_A_0_l)   chisq2 = 14.97   ODDS = 0.82   z_cluster = 0.702