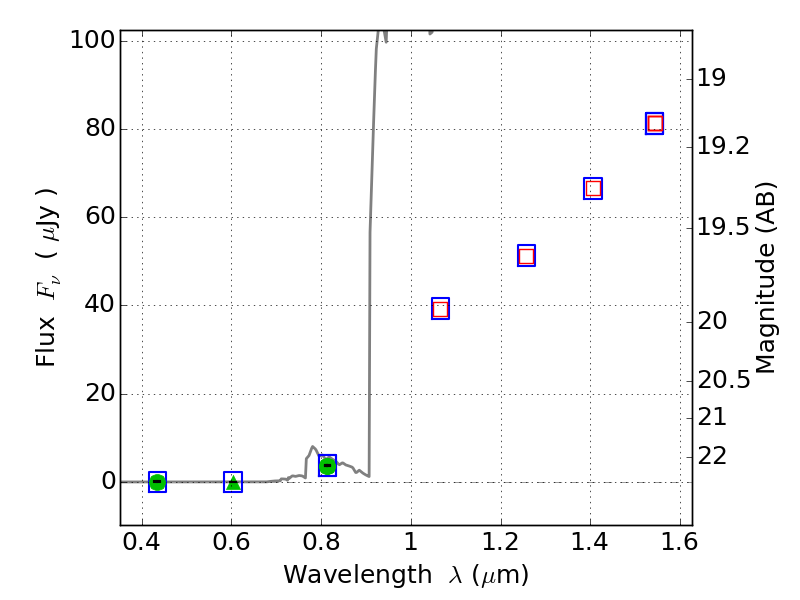
PLCKG138-10 ACS+IR detection object #2242

Color images and BPZ results
Catalog: 2242.cat
Black segments are analyzed here.   Roll mouse over color images to view segments.
Best viewed in a wide browser window (1200 pixels or more).   Download SED & P(z) plots to view larger versions.
In P(z) plots: Yellow lines mark the cluster redshift z = 0.702,  

Object #2242   x,y = (4181, 3049)   RA, Dec = (02:26:55.944, 49:01:02.28) = (36.73310, 49.01730)   BPZ = 6.470 [6.185--8.447]   type = 6.00 (Sbc_B10)   chisq2 = 0.00   ODDS = 0.52   z_cluster = 0.702