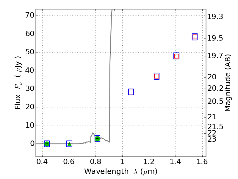
PLCKG138-10 ACS+IR detection object #2087

Color images and BPZ results
Catalog: 2087.cat
Black segments are analyzed here.   Roll mouse over color images to view segments.
Best viewed in a wide browser window (1200 pixels or more).   Download SED & P(z) plots to view larger versions.
In P(z) plots: Yellow lines mark the cluster redshift z = 0.702,  

Object #2087   x,y = (514, 3117)   RA, Dec = (02:27:18.312, 49:01:06.60) = (36.82630, 49.01850)   BPZ = 6.451 [6.100--8.499]   type = 6.00 (Sbc_B10)   chisq2 = 0.00   ODDS = 0.51   z_cluster = 0.702